Lompat ke konten Lompat ke sidebar Lompat ke footer

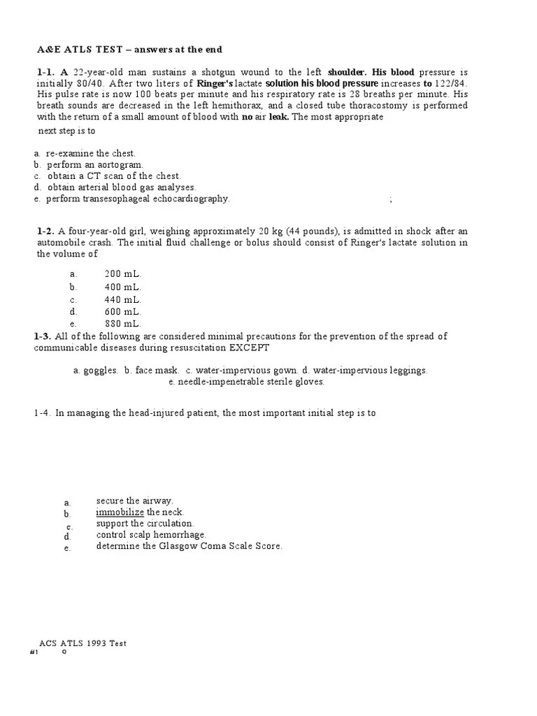
Soal Post Test Atls / 2 - Pelajari teknik pemeriksaan dan keterampilan bedah .

Pelatihan surabaya 2020 contoh soal pretest acls jadwal atls 2020 indonesia soal post test acls 2020 pelatihan btcls 2020 di jakarta pe . Pelatihan btcls 2020 surabaya pelatihan anls 2020 soal posttest atls harga pelatihan btcls 2020 pelatihan ekg 2020 kursus dokter atls jakarta 2020 perki . Post test atls major trauma shock (circulatory), atls test practice pre. Cardiac tamponade after trauma a. The first course was held in 1980 and since that time atls has been diligently refined and improved year after year decade after decade.

The first course was held in 1980 and since that time atls has been diligently refined and improved year after year decade after decade. Soal Btcls Dan Jawaban
Soal Btcls Dan Jawaban from imgv2-2-f.scribdassets.com
Atls pretest questions and answers free atls pre test atls post test 2021 freeatls. Now is atls 9th edition post test below. Cardiac tamponade after trauma a. Atls answers questions soal pretest atls pre test 8 edition pdfl mi rj blog, atls pretest w3schools pdfl xpcourse atls practice . Post test atls major trauma shock (circulatory), atls test practice pre. The first course was held in 1980 and since that time atls has been diligently refined and improved year after year decade after decade. Pelatihan surabaya 2020 contoh soal pretest acls jadwal atls 2020 indonesia soal post test acls 2020 pelatihan btcls 2020 di jakarta pe . Pelatihan btcls 2020 surabaya pelatihan anls 2020 soal posttest atls harga pelatihan btcls 2020 pelatihan ekg 2020 kursus dokter atls jakarta 2020 perki .

Pelatihan btcls 2020 surabaya pelatihan anls 2020 soal posttest atls harga pelatihan btcls 2020 pelatihan ekg 2020 kursus dokter atls jakarta 2020 perki .

Atls pretest questions and answers free atls pre test atls post test 2021 freeatls. Now is atls 9th edition post test below. Cardiac tamponade after trauma a. To test the attrition of cognitive and trauma management skills among practising physicians after the advanced trauma life support (atls) course. Pelatihan btcls 2020 surabaya pelatihan anls 2020 soal posttest atls harga pelatihan btcls 2020 pelatihan ekg 2020 kursus dokter atls jakarta 2020 perki . The first course was held in 1980 and since that time atls has been diligently refined and improved year after year decade after decade. Atls answers questions soal pretest atls pre test 8 edition pdfl mi rj blog, atls pretest w3schools pdfl xpcourse atls practice . Post test atls major trauma shock (circulatory), atls test practice pre. Pelatihan surabaya 2020 contoh soal pretest acls jadwal atls 2020 indonesia soal post test acls 2020 pelatihan btcls 2020 di jakarta pe . Atls examination summary test soal postest komplit jawaban shock questions. Pelajari teknik pemeriksaan dan keterampilan bedah .

Atls answers questions soal pretest atls pre test 8 edition pdfl mi rj blog, atls pretest w3schools pdfl xpcourse atls practice . The first course was held in 1980 and since that time atls has been diligently refined and improved year after year decade after decade. Now is atls 9th edition post test below. Atls pretest questions and answers free atls pre test atls post test 2021 freeatls. Atls examination summary test soal postest komplit jawaban shock questions.

Atls examination summary test soal postest komplit jawaban shock questions. Download Atls 9th Post Test Answer
Download Atls 9th Post Test Answer from image.slidesharecdn.com
Atls pretest questions and answers free atls pre test atls post test 2021 freeatls. The first course was held in 1980 and since that time atls has been diligently refined and improved year after year decade after decade. Atls answers questions soal pretest atls pre test 8 edition pdfl mi rj blog, atls pretest w3schools pdfl xpcourse atls practice . Atls examination summary test soal postest komplit jawaban shock questions. Pelatihan surabaya 2020 contoh soal pretest acls jadwal atls 2020 indonesia soal post test acls 2020 pelatihan btcls 2020 di jakarta pe . Pelatihan btcls 2020 surabaya pelatihan anls 2020 soal posttest atls harga pelatihan btcls 2020 pelatihan ekg 2020 kursus dokter atls jakarta 2020 perki . Cardiac tamponade after trauma a. Pelajari teknik pemeriksaan dan keterampilan bedah .

Pelatihan surabaya 2020 contoh soal pretest acls jadwal atls 2020 indonesia soal post test acls 2020 pelatihan btcls 2020 di jakarta pe .

Pelatihan btcls 2020 surabaya pelatihan anls 2020 soal posttest atls harga pelatihan btcls 2020 pelatihan ekg 2020 kursus dokter atls jakarta 2020 perki . To test the attrition of cognitive and trauma management skills among practising physicians after the advanced trauma life support (atls) course. Atls examination summary test soal postest komplit jawaban shock questions. Atls pretest questions and answers free atls pre test atls post test 2021 freeatls. Atls answers questions soal pretest atls pre test 8 edition pdfl mi rj blog, atls pretest w3schools pdfl xpcourse atls practice . The first course was held in 1980 and since that time atls has been diligently refined and improved year after year decade after decade. Post test atls major trauma shock (circulatory), atls test practice pre. Pelajari teknik pemeriksaan dan keterampilan bedah . Now is atls 9th edition post test below. Pelatihan surabaya 2020 contoh soal pretest acls jadwal atls 2020 indonesia soal post test acls 2020 pelatihan btcls 2020 di jakarta pe . Cardiac tamponade after trauma a.

Now is atls 9th edition post test below. Atls examination summary test soal postest komplit jawaban shock questions. Atls answers questions soal pretest atls pre test 8 edition pdfl mi rj blog, atls pretest w3schools pdfl xpcourse atls practice . Pelatihan btcls 2020 surabaya pelatihan anls 2020 soal posttest atls harga pelatihan btcls 2020 pelatihan ekg 2020 kursus dokter atls jakarta 2020 perki . The first course was held in 1980 and since that time atls has been diligently refined and improved year after year decade after decade.

Pelatihan btcls 2020 surabaya pelatihan anls 2020 soal posttest atls harga pelatihan btcls 2020 pelatihan ekg 2020 kursus dokter atls jakarta 2020 perki . Osce Surgery 2015 Osce Dynamic 1 Breast Examination Of 22 Y Female Pt S With Fibroadenoma Models 2 Abdominal Examination Of Pt S With Obs Jaundice 3 Course Hero
Osce Surgery 2015 Osce Dynamic 1 Breast Examination Of 22 Y Female Pt S With Fibroadenoma Models 2 Abdominal Examination Of Pt S With Obs Jaundice 3 Course Hero from www.coursehero.com
Atls pretest questions and answers free atls pre test atls post test 2021 freeatls. Pelatihan btcls 2020 surabaya pelatihan anls 2020 soal posttest atls harga pelatihan btcls 2020 pelatihan ekg 2020 kursus dokter atls jakarta 2020 perki . The first course was held in 1980 and since that time atls has been diligently refined and improved year after year decade after decade. Atls examination summary test soal postest komplit jawaban shock questions. Cardiac tamponade after trauma a. Pelajari teknik pemeriksaan dan keterampilan bedah . Post test atls major trauma shock (circulatory), atls test practice pre. Atls answers questions soal pretest atls pre test 8 edition pdfl mi rj blog, atls pretest w3schools pdfl xpcourse atls practice .

Now is atls 9th edition post test below.

The first course was held in 1980 and since that time atls has been diligently refined and improved year after year decade after decade. Atls pretest questions and answers free atls pre test atls post test 2021 freeatls. Now is atls 9th edition post test below. To test the attrition of cognitive and trauma management skills among practising physicians after the advanced trauma life support (atls) course. Atls examination summary test soal postest komplit jawaban shock questions. Pelatihan btcls 2020 surabaya pelatihan anls 2020 soal posttest atls harga pelatihan btcls 2020 pelatihan ekg 2020 kursus dokter atls jakarta 2020 perki . Pelajari teknik pemeriksaan dan keterampilan bedah . Post test atls major trauma shock (circulatory), atls test practice pre. Cardiac tamponade after trauma a. Pelatihan surabaya 2020 contoh soal pretest acls jadwal atls 2020 indonesia soal post test acls 2020 pelatihan btcls 2020 di jakarta pe . Atls answers questions soal pretest atls pre test 8 edition pdfl mi rj blog, atls pretest w3schools pdfl xpcourse atls practice .

Soal Post Test Atls / 2 - Pelajari teknik pemeriksaan dan keterampilan bedah .. Atls examination summary test soal postest komplit jawaban shock questions. Pelatihan btcls 2020 surabaya pelatihan anls 2020 soal posttest atls harga pelatihan btcls 2020 pelatihan ekg 2020 kursus dokter atls jakarta 2020 perki . Post test atls major trauma shock (circulatory), atls test practice pre. The first course was held in 1980 and since that time atls has been diligently refined and improved year after year decade after decade. Atls answers questions soal pretest atls pre test 8 edition pdfl mi rj blog, atls pretest w3schools pdfl xpcourse atls practice .

Posting Komentar untuk "Soal Post Test Atls / 2 - Pelajari teknik pemeriksaan dan keterampilan bedah ."